Z章 トリチウムの環境動態と人体影響

  Z‐4 トリチウムの被ぱく線量評価と人体影響

  Z‐4・3・4  4コンパートメントモデル(ETHモデル)

 4コンパートメントモデル  28)(以下ETHモデルと略する)(図Z‐8)では人体内でトリチウムの体内動態を説明するために人体を四つのコンパートメントに分けて考え、有機結合型トリチウム(0BT)の人体への直接取りこみも考慮する。この直接取りこみはこれまでの多くの実験観察結果から明らかになっていることである。
 ETHモデルでは従来のNCRPモデルの三つのコンパートメントに速く代謝される脂肪のコンパートメントが加わっている。NCRPモデルでは0BTも全てコンパートメントAに入るがETHモデルでは0BTの大部分が二つのコンパートメントB及びCに直接取りこまれ、残りは人体への取りこみ後ただちに酸化されて体内水コンパートメントAに入る。
 ETHモデルにより、各コンパートメントに存在する水素原子の由来、即ち食物中の0BT、TEWT及ぴ飲料水からの供給によるものの割合を計算することができる。その結果はHatchand Marizimas  のマウスのデータ 40) によく一致している。

     

 New York のデータ 41)によると人体での0BTとTFWTの比放射能比(SAOBT/SATFWT,SARとする)は1.5-2.4であり1よりかなり大きい。摂取される0BTとTFWTの量が変らなければ、平衡状態において組織中のSARの値はある値に近づく。ETHモデルから近似的に次ぎの式が得られる。
             

ここでrtissueは0BTとTFWTの総量の比である。上式よりSARfood =6.5-21.8 が得られる。実際にそうなっているのかどうかを知るには、食品中濃度と人体中濃度とを対応させられる多くのデータの蓄積が必要である。
 平衡状態は非現実的であって実際にはR値は時間的にも場所的にも変動がある。New York の場合R=0.246、イタリアの場合R=3.4である 42)。0BTの比放射能をSAB、TFWTの比放射能をSAFとおけば、

0BT=(27.0 + 4.9)×SAB、TFWT=314×SAFより
  R=0.1016×SARfood
すなわち
  SARfood=9.84×R
 
したがって、New York ではSARf。。d=2.4、イタリアではSARfood=30.9と評価される。イタリアのこの大きなSARfood値には疑間を持つ人もある。このような大きなSAR値は、環境中トリチウムのレベルが一過的に上昇した後に体内0BTがTFWTにくらべて長期残留するという過渡的な状況のもとのみ起り得ると考えられる。
 一方、久松等は秋田での食品及ぴ飲料氷中のトリチウム含有量をもとに、ETHモデルを使ってSARの値を求め工1を得てい 43 44)。この値は実測値1.0-1.3とよくあっている。ただし、SARの値が1に近いところではどのようなモデルでもよく似た値を与えるので、ETCモデルに限らず、モデルの正当性を検証するためには、Rの値の違った場所でのSAR値についての多くの実測値が必要である。
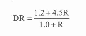
 全線量を自由水コンパートメントの線量寄与で割った値(以下DRと書く)のR値に対する依存性は任意の投与条件と被ばく期間について、コンピュータシミュレーションによって計算することができる。R値の大きいところではDR値は3−4となる。特別な場合である平衡状態の場合、すなわち長期にわたって:一定比放射能の飲食物を摂取するという条件下では、DRは近似的に次の式で与えられる。
             
Rが大きくなるとDR値は4.5に近づくがこれは、Travis らがパルス1回投与の場合についてETHモデルで計算した値と一致する。

安全安心学アカデミーTOPへ
低線量放射線の健康影響に関する調査トップページへ